Смотреть видео: Примеры по математике 6 класс виленкин

Задание, номер 514 - ГДЗ по математике 6 класс Виленкин, Жохов
Гдз класс математика автор виленкин Math
Хелп с уравнениями!!! № 380 Математика 6 класс Виленкин. - Рамблер/класс
Контрольная работа № 15 по математике (6 класс) по учебнику Виленкин, Жохов, Чес
Задание, номер 696 - ГДЗ по математике 6 класс Виленкин, Жохов
Картинки МАТЕМАТИКА ШЕСТОЙ КЛАСС УПРАЖНЕНИЕ 5
Номер № 450 - ГДЗ по Математике 6 класс: Виленкин Н.Я.
Не могу решить! Хелп! № 635 Математика 6 класс Виленкин. - Рамблер/класс
Задание, номер 322 - ГДЗ по математике 6 класс Виленкин, Жохов
Номер 1131 - ГДЗ по математике 6 класс Виленкин
Не могу понять, как решается. № 697 Математика 6 класс Виленкин. - Рамблер/класс
Учебник примеров 6 класса - найдено 87 фотографий
Помогите выполнить действия. Математика. 5 класс. Пар.№ 6. Упр.№ 1205. Учебник В
Самостоятельная работа по теме: Арифметические действия с десятичными дробями
Математика 6 просвещение виленкин
Домашняя работа по математике пятый класс виленкин
10 популярных идей на тему "задания для 5 класса" для вдохновения
Математика 6 класс номер 2 44
Задание, номер 445 - ГДЗ по математике 6 класс Виленкин, Жохов
Задание, номер 587 - ГДЗ по математике 6 класс Виленкин, Жохов
Домашняя работа по математике пятый класс виленкин
Тренажер виленкин 6 класс
Картинки РЕШЕБНИК ПО МАТЕМАТИКЕ 6 ВИЛЕНКИН 2
помогите пожалуйста с решением - Школьные Знания.com
Задание, номер 324 - ГДЗ по математике 6 класс Виленкин, Жохов
Foto 4.7 25
Итоговое повторение по математике 6 класс виленкин презентация
Диагностические по математике 6 класс виленкин
Математика 6 класс номер 2 303 - Telegraph
Решение уравнений 6 класс виленкин фото HobbiArt.ru
Математика 6 класс упражнение 433
Математика 6 класс виленкин подробно подробно Shtampik.com
Математика 6 класс виленкин номер 1056 - Большой телефонный справочник предприят
Фотографии ВИЛЕНКИН 6 КЛАСС МАТЕМАТИКА УЧЕБНИК САМОСТОЯТЕЛЬНЫЕ
Гдз онлайн рабочия тетрадь 8 класс биболетова Algebra, Education, Math equations
Математика шестой класс виленкин номер 105
Учебник виленкина 5 класс решебник
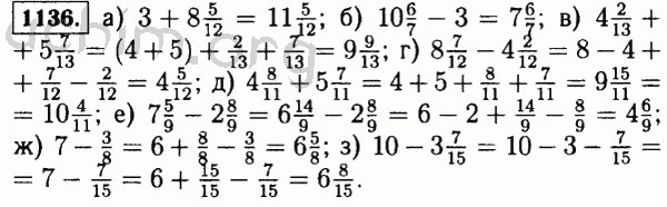
Номер 1136 - Решебник по математике 5 класс Виленкин
Математика 6 класс no
Математика 6 класс уроки конспекты виленкин