Смотреть видео: Придумать два примера с факториалами

Комбинаторика в дизайне: сочетания цветов - Артём Владимиров - графический дизай
Как найти предел последовательности? Подробные примеры решений
alexxlab - Страница 3115 - Таловская средняя школа
Ответы Mail.ru: Пример с ФАКТОРИАЛОМ
Ответы Mail.ru: помогите решить уравнение с факториалом
Сокращаем дроби с факториалами - смотреть видео онлайн от "Решаем геометрические
Подготовка школьников к ЕГЭ и ОГЭ (Справочник по математике - Алгебра - Комбинат
Ответы Mail.ru: Помогите решить предел факториала.
alexxlab - Страница 3115 - Таловская средняя школа
10.5. Достаточные признаки сходимости рядов с положительными членами
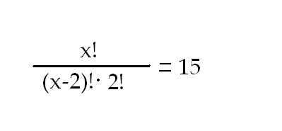
факториал! примеры, решите пожалуйста)
14. Вычисление пределов последовательностей ( предел с факториалом ), примеры 7,
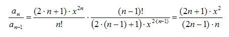
Ответы Mail.ru: Как найти предел последовательности в этом примере?
Помогите мне вычислить, пожалуйста! № 52.3 ГДЗ Алгебра 10-11 класс Мордкович. -
Приложение 1. Определения и свойства факториалов, перестановок, сочетаний.
Факториал это - Quara.ru
Необходимо сократить факториалы - Есть ответ на shkolenet.ru
Задачи на факториал: Примеры решения задач с факториалами с ответами - Таловская
Предел последовательности. Пример вычисления предела - презентация, доклад, прое
Картинки УПРОСТИТЬ ФАКТОРИАЛ
Факториал - Студопедия
Решить 6!3!/4!7! Microsoft Math Solver
Сможешь сократить дробь с факториалами? - YouTube
Полезные приемы работы в Excel (comp.soft.tutorexcel) : Рассылка : Subscribe.Ru
Презентация перестановки факториал - Basanova.ru
Ответы Mail.ru: помогите найти предел !! (предел с факториалом)
Конспект практического занятия по математике на II курсе Авторская платформа Pan
Ответ на вопрос упражнения 749 ГДЗ решебник по алгебре 9 класс Макарычев, Миндюк
2k+1)! : (2k-1)! выведите факториал
Сколько 10-значных чисел можно записать с помощью 10-ти разных цифр?
Упражнения по внутреннему языку программирования 1С 8.3: пузырёк и факториал
Элементы математической статистики, комбинаторики и теории вероятностей - презен
Factorial - Wikipedia, the free encyclopedia
Файлы
Ответы: Решите следующие уравнения с факториалами: N276, N277.
Краткие факты про факториал и задачка для начинающих по теме Репетитор IT mentor
Формулы для перестановок, сочетаний, размещений - презентация по Алгебре
СТРУКТУРНОЕ ПРОГРАММИРОВАНИЕ Задача 3. 10 (вариант 1)
Как решить Факториал числа. Таблица, Свойства, Примеры
Виды Факториалов Антифап Дзен