Смотреть видео: По бизнес плану четырехлетний проект предполагает

ЕГЭП № 15 По бизнес-плану четырёхлетний проект предполагает начальное вложение 1
Ученик № 73 - Артём (Ануш) '18, 11-й класс посетил занятие 17.08.2024 (Суббота)
Задача 16 ЕГЭ математика профиль, сортировка по сложности
Задача 16 ЕГЭ математика профиль, сортировка по сложности
Новая задача 17 про вложения в бизнес из ЕГЭ по математике - YouTube
Финансовая математика. Задание 17 - презентация, доклад, проект скачать
Новая задача 17 про бизнес планы - YouTube
ЕГЭ Профиль задача 15 Экономическая Бизнес-план - YouTube
Задание 17. Задача с экономическим содержанием. - YouTube
Можно просто ответ.по бизнес-плану предполагается вложить в четырёхлетний проект
По бизнес плану предполагается вложить в четырехлетний проект 20 млн рублей по и
Экономические задачи, ЕГЭ - презентация, доклад, проект скачать
По бизнес плану четырехлетний проект
Финансовая математика в № 15 ЕГЭ математика профильный уровень. Практический раз
Опыт работы учителя математики. Особенности преподавания математики для разных г
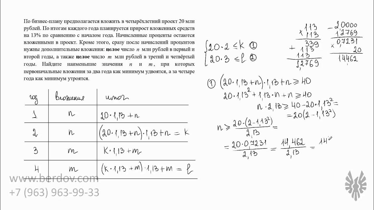
По бизнес-плану предполагается вложить в четырёхлетний проект 20 млн рублей. По
Ответы Mail.ru: Полное письменное решение По бизнес-плану четырёхлетний проект п
Задачи 15 ЕГЭ профильная математика
По бизнес плану четырехлетний проект предполагает
По бизнес-плану четырехлетний проект предполагает начальное вложение 25 млн рубл
Задача 16 ЕГЭ математика профиль, сортировка по темам
Бизнес-план инвестиционного проекта, его структура. (Лекция 5)
По бизнес плану предполагается вложить в четырехлетний проект 20 млн рублей по и
Картинки ПО БИЗНЕС ПЛАНУ ЧЕТЫРЕХЛЕТНИЙ
Как получить финансирование для вашего предприятия с помощью кредита под бизнес-
По бизнес плану предполагается вложить в четырехлетний проект 10 млн рублей по и
Тема 11. Предприятия малого бизнеса
По бизнес плану четырехлетний проект
Можно просто ответ.по бизнес-плану предполагается вложить в четырёхлетний проект
#86 По бизнес-плану четырехлетний проект предполагает начальное вложение 25 млн
Сборник "Решение экономических задач"
Презентация к уроку по теме "Задачи с экономическим содержанием" (№ 17 ЕГЭ по ма
Можно просто ответ.по бизнес-плану предполагается вложить в четырёхлетний проект
По бизнес плану четырехлетний проект предполагает - Проценты по вкладам
Методические рекомендации к проекту на тему "Рассказ о слове"
Картинки ПО БИЗНЕС ПЛАНУ ЧЕТЫРЕХЛЕТНИЙ
Девелопер РКС вложит 12 млрд рублей в свой первый проект в Москве - Недвижимость
Маркетплейс методических разработок
Пример аннотации к бизнес плану
В Ульяновске в динозавров вложили 16 млн рублей частных инвестиций: Яндекс.Новос