Смотреть видео: Гдз по фото онлайн математика 7 класс

Ответ на вопрос упражнения 403dult ГДЗ решебник по алгебре 7 класс Макарычев, Ми
Иллюстрация 6 из 31 для Алгебра. 7 класс. Учебник. ФГОС - Макарычев, Миндюк, Сув
Номер 1.6(6) - ГДЗ по алгебре 7 класс Мордкович
Ответ на вопрос упражнения 623аб ГДЗ решебник по алгебре 7 класс Макарычев, Минд
ГДЗ вправа 314 алгебра 7 класс Истер
номер 839 (страница 231) гдз по алгебре 7 класс Никольский, Потапов, учебник 201
номер 1.7 (страница 6) гдз по алгебре 7 класс Мордкович, задачник 2 часть 2009-2
Картинки АЛГЕБРА 7 УПР 6
Алгебра 7 класс 300: найдено 80 изображений
Номер 1.15(15) - ГДЗ по алгебре 7 класс Мордкович
ГДЗ задание 675 алгебра 7 класс Макарычев, Миндюк
Картинки АЛГЕБРА 7 КЛАСС НОМЕР 638
ГДЗ задание 40 алгебра 7 класс Макарычев, Миндюк
ГДЗ Номер 69 Алгебра 7 класс Колягин Гарантия хорошей оценки ✅
Математика 7 класс миндюк учебник
Скачать картинку АЛГЕБРА 6 7 КЛАССА № 18
Задача 691 - Математика 6 класс решебник гдз
Алгебра 7 класс упражнения 15 - найдено 75 картинок
ГДЗ задание 22 алгебра 7 класс Макарычев, Миндюк
Номер 415 - ГДЗ по алгебре за 7 класс Мерзляк, Полонский, Якир
Картинки РЕШЕБНИК ПО МАТЕМАТИКЕ 7
Скачать картинку АЛГЕБРА 6 7 КЛАССА № 10
Глава 1 № 101-200 - Алгебра 7 класс Арефьева - YouTube
Задача 1109 - Математика 6 класс решебник ответы гдз
Картинки МОРДКОВИЧ 7 КЛАСС ЗАДАЧНИК
Математика 7 класс 48
Картинки МАТЕМАТИКА 8 КЛАСС УЧЕБНИК ОТВЕТЫ
Номер задания № 576 - ГДЗ по Алгебре 7 класс: Макарычев Ю.Н.
Картинки МАТЕМАТИКА 8 КЛАСС УЧЕБНИК ОТВЕТЫ
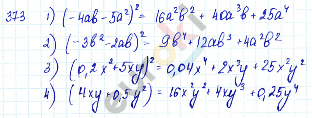
ГДЗ Номер 373 Алгебра 7 класс Алимов Гарантия хорошей оценки ✅