Смотреть видео: Формулы сокращенного умножения таблица для печати



Формулы сокращенного умножения таблица для печати

Формулы сокращенного умножения таблица для печати
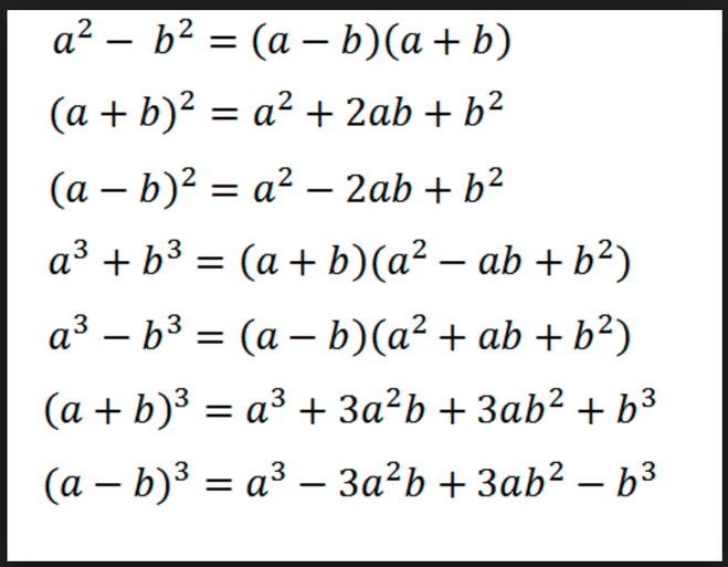
Как выглядят формулы сокращённого умножения?
Формулы сокращенного умножения таблица для печати
Какие есть формулы сокращенного умножения?
Формулы сокращенного умножения таблица для печати
Разность квадратов 6 и 2
Формулы сокращенного умножения таблица для печати
Разложение 5 степени: найдено 86 изображений
Формулы сокращенного умножения таблица для печати
Таблица. Формулы сокращенного умножения (винил)

Формулы сокращенного умножения таблица для печати
Картинки ЗАПИШИТЕ ФОРМУЛУ СОКРАЩЕННОГО УМНОЖЕНИЯ
Формулы сокращенного умножения таблица для печати
Картинки ФСУ СУММА КУБОВ
Формулы сокращенного умножения таблица для печати
F 4 алгебра
Формулы сокращенного умножения таблица для печати
Способы разложения многочлена на множители (7 класс)
Формулы сокращенного умножения таблица для печати
Стенд Формулы сокращенного умножения (арт. ШМАТ-63) купить в Москве с доставкой:
Формулы сокращенного умножения таблица для печати
Стенд Уголок Математика купить на OZON по низкой цене
Формулы сокращенного умножения таблица для печати
Формулы сокращённого умножения - МЕГА - РЕПЕТИТОР
Формулы сокращенного умножения таблица для печати
Формулы сокращенного умножения (ФСУ) применяются для возведения в степень и умно
Формулы сокращенного умножения таблица для печати
Формулы сокращенного умножения кубы и квадраты
Формулы сокращенного умножения таблица для печати
Картинки ЗАПИШИТЕ ФОРМУЛУ СОКРАЩЕННОГО УМНОЖЕНИЯ
Формулы сокращенного умножения таблица для печати
Сокр умножение - найдено 88 картинок
Формулы сокращенного умножения таблица для печати
Задачи к теме 4. Определенный интеграл.
Формулы сокращенного умножения таблица для печати
Презентация по алгебре для 7 класса по теме "Формулы сокращенного умножения"
Формулы сокращенного умножения таблица для печати
ОГЭ. Задание 8: квадратные корни в формулах сокращённого умножения. Задание 15:
Формулы сокращенного умножения таблица для печати
Стенд "Формула сокращенного умножения"
Формулы сокращенного умножения таблица для печати
AIS: Все курсы
Формулы сокращенного умножения таблица для печати
Стенд Формулы сокращенного умножения (арт. ШМАТ-74) купить в Москве с доставкой:
Формулы сокращенного умножения таблица для печати
Сможете решить это школьное алгебраическое уравнение ? Репетитор IT mentor Дзен
Формулы сокращенного умножения таблица для печати
Ответы Mail.ru: Почему значения выражений 2,9² - 0,9² и (2,9 - 0,9)⋅(2,9 + 0,9)
Формулы сокращенного умножения таблица для печати
Картинки КУБИЧЕСКИЕ ФОРМУЛЫ СОКРАЩЕННОГО УМНОЖЕНИЯ
Формулы сокращенного умножения таблица для печати
Фсу 3
Формулы сокращенного умножения таблица для печати
Стенды для кабинета математика - купить для школы в Нижнем Новгороде
Формулы сокращенного умножения таблица для печати
Сокращенное умножение 7 класс
Формулы сокращенного умножения таблица для печати
Выполните умножение используя формулы сокращенного умножения: найдено 85 картино
Формулы сокращенного умножения таблица для печати
Выполните умножение используя формулы сокращенного умножения: найдено 85 картино
Формулы сокращенного умножения таблица для печати
Решение выражений в квадрате: найдено 85 изображений
Формулы сокращенного умножения таблица для печати
КРУТАЯ ШПАРГАЛКА ПО ФОРМУЛАМ СОКРАЩЁННОГО УМНОЖЕНИЯ
Формулы сокращенного умножения таблица для печати
Разность квадратов чисел 6 и 2: найдено 87 изображений
Формулы сокращенного умножения таблица для печати
интересненькое только интересное 2024 ВКонтакте
Формулы сокращенного умножения таблица для печати
Таблица Формулы сокращенного умножения (винил) 100х140см. - Компания ПАРТНЕР Куп
Формулы сокращенного умножения таблица для печати
Стенды для кабинета математики
Формулы сокращенного умножения таблица для печати
Формула куба умножения: найдено 90 картинок
Формулы сокращенного умножения таблица для печати
Квадрат сокращенного умножения: найдено 87 изображений
Формулы сокращенного умножения таблица для печати
Формула сокращенного квадрата: найдено 88 изображений
Формулы сокращенного умножения таблица для печати
Формулы сокращённого умножения Репетитор по математике, Математические выражения