Смотреть видео: Алгебра 8 класс номер 662 таблица

Номер - 662 гдз по алгебре 8 класс Алимов, Колягин
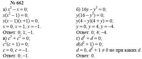
ГДЗ задание 662 алгебра 8 класс Макарычев, Миндюк
662 алгебра 7 макарычев
Колягин алгебра 8 662
ГДЗ задание 662 алгебра 8 класс Макарычев, Миндюк
Номер 662 - ГДЗ по алгебре 8 класс Макарычев, Миндюк с ответом и решением
ГДЗ номер 662 алгебра 7 класс Никольский, Потапов
Номер 422 - Решебник по алгебре 8 класс Макарычев
ГДЗ упражнение 662 алгебра 7 класс Колягин, Ткачева
Алгебра страница 143 номер 660
Алгебра 8 класс номер 6 стр 7
АЛГЕБРА ВОСЬМОЙ КЛАСС НОМЕР 542 images
Ответ на вопрос упражнения 662 (652) ГДЗ решебник по алгебре 8 класс Макарычев,
Колягин 8 читать
ГДЗ упражнение 608 алгебра 8 класс Колягин, Ткачева
Алгебра 8 класс колягин номер 2
Страница 662 ГДЗ решебник по алгебре 9 класс Мордкович, Мишустина, Тульчинская
Алгебра 8 класс мерзляк учебник ответы фото Shkola-2.ru
Мерзляк 8 662 Shtampik.com
Алгебра 8 класс упражнение 144
Алгебра 8 класс задание номер 1 Shtampik.com
№ 662 - Алгебра 7 класс Колягин - YouTube
ГДЗ упражнение 662 алгебра 7 класс Колягин, Ткачева
ГДЗ, ответ на задание: 662 Алгебра. 7 класс. А.Г. Мордкович, Т.Н. Мишустина, Е.Е
Гдз По Фото Алгебра 8 Класс - Фото
Решение примера № 530. решебник (гдз) скачать
Алгебра номер 662
Алгебра 8 класс колягин 2022
Упростите выражение
ГДЗ вводный вопрос / 31 7 алгебра 9 класс Колягин, Ткачева