Смотреть видео: 4 8 таблица 1 основные

Таблица квадратов черно белая - Распиновки.ру
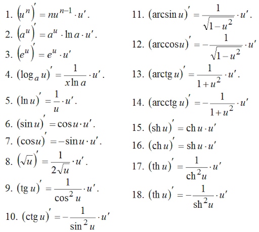
Полезные памятки по математике #математика@my_nachalka 2023 Начальная школа VK
10 популярных идей на тему "все кислоты химия" для вдохновения
Поурочные планы по географии - география, уроки
Ответы Mail.ru: напишите мне таблицу по истории на тему Магулистан
2.3 Финансово-экономический анализ деятельности и выявление резервов повышения к
И8: Таблица - количество информации в сообщении об одном из N равновероятностных
Таблица основных степеней 5 класс фото
Характерные признаки кислоты
Урок 1: Системы счисления - 100urokov.ru
Ответы Mail.ru: Помогите) История 8 класс, таблица
Метод главных элементов для решения системы линейных уравнений - online presenta
Визуальные схемы и таблицы союзов в русском языке Фотоальбом решений dm41.ru
Картинки ТАБЛИЦА БРАДИСА КОРНИ
Аминокислоты - общая формула, таблица (химия, 10 класс)
7 8 10 4 Shtampik.com
Steam-værksted::SWRPROFLS
Биология в таблицах
Таблица истинности для дешифратора 3х8 фото - PwCalc.ru
Читать - Оглавление - Книга "Тематическое и поурочное планирование по биологии.
10.4.9. Тонкий кишечник 1990 Грин Н., Стаут У., Тейлор Д. - Биология. В 3-х т. Т
Закон постоянства состава вещества. Классификация неорганических соединений
Пин на доске Полезное Тригонометрия, Математика, Уроки математики
Таблица синусов углов от 1 ° - 180 °. Углы с шагом в 1 ° Математические словари,
Тесты по информатике
Таблице 1 к 1
Преобразование лапласа и таблица преобразований лапласа. Полная таблица преобраз
НОРМОКОНТРОЛЬ ПОЯСНИТЕЛЬНЫХ ЗАПИСОК - Студопедия.Нет
Таблице 1 таблица 1 система
Таблице 1 таблица 1 система
Таблице 1 к 1
Ответы Mail.ru: Почему не сходится код ASCII
Таблица 1 мая: найдено 72 картинок
Задание 4. В Таблице 1 приведен общий список услуг, которые могут быть оказаны ф
Классный часс 5кл игра поле чудес Уроки геометрии, Учебные плакаты, Математическ
Директ Кухонные мойки LAVA мойки-Lava Прямой поставщик 2 степень. Обсуждение на
9 В ГБОУ СГИ Дистант: записи сообщества ВКонтакте
Таблица 1- Соответствие классификаций МР
Таблица Брадиса: значения синуса, косинуса, тангенса, котангенса
Яндекс.Документы: Как импортировать данные из одной таблицы в другую?" - Яндекс