Смотреть видео: 3 класс примеры деление однозначных

Математика 3 класс Тренажер классический Упражнения для занятий в школе и дома У
Примеры деления 3 класс в столбик: Карточки по математике "Умножение и деление т
schitaem_pravilno_rabochaya_tetrad_po_matematike_3_klass-35 (587x700, 185Kb) 3 к
Скачать картинку ПРИМЕРЫ С УМНОЖЕНИЕМ 3 КЛАСС № 6
Рабочий лист -гармошка по математике 4 кл
Тренажер, 3 класс. Умножение и деление чисел столбиком worksheet in 2024 Google
Тренажер на умножение столбиком 4класс математика, Умножение, 3 класс математика
Математика. 3 класс. Умножение и деление в пределах 1000. Козлов Д. Н. - купить
Книга 3000 примеров по Математике 2-3 кл.Ы контрольные и проверочные Работы Слож
Деление на двузначное число Zavoronok Live
Книга: "Быстрый способ научиться устному счету" - Узорова, Нефедова. Купить книг
Фотография Math for kids, Mental math, Math
Collection on the topic: "Multiplication and division" #математика@my_nachalka 2
Образец деления в столбик 3 класс
Узорова О.В., Нефедова Е.А. "3000 примеров по математике. 3 класс. Счет в предел
Математика 3 класс (1, 2, 3 части) Урок 5. Деление на однозначное число задание,
Пин на доске Математика 3 клас Математика для 7 класса, 4класс математика, Матем
Деление столбиком и умножение столбиком worksheet
Скачать картинку ПРИМЕРЫ СТОЛБИКОМ 3 КЛАСС ДЕЛЕНИЕ С ОСТАТКОМ № 4
Пять шагов к пятёрке. Тренажёр умножение трёхзначного числа на однозначное. Пись
Конспект урока математики в 4 классе "ПРИЕМ ПИСЬМЕННОГО ДЕЛЕНИЯ НА ОДНОЗНАЧНОЕ Ч
Тренажер, 3 класс. Умножение и деление чисел столбиком worksheet in 2024 Math ad
3000 примеров по математике. 3-4 класс. Внетабличное умножение и деление ... - О
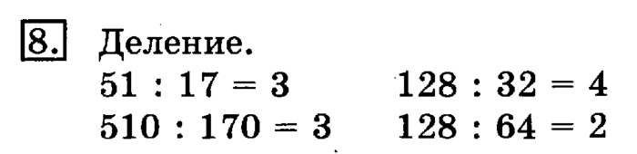
ГДЗ, ответ на Нахождение однозначного частного Задание: 8 Математика. 3 класс. Р
Картинки КАРТОЧКА УМНОЖЕНИЕ МНОГОЗНАЧНОГО НА ОДНОЗНАЧНОЕ
Pin on Математика Math quotes, Kids math worksheets, 3rd grade math worksheets
Пин на доске Математика
Фотография Math for kids, 3rd grade math worksheets, 3rd grade math
Рабочая тетрадь 5 За Знания Пять шагов к пятерке. Тренажер. Деление на однозначн
Решебник, ГДЗ по математике 3 класс Рудницкая, Юдачева - рабочая тетрадь
ГДЗ, ответ на Урок № 6. Деление на однозначное число Задача: 2 Математика. 3 кла
❺ Наша начальная школа ❺ Math for kids, 3rd grade math worksheets, 3rd grade mat
Пять Шагов к пятёрке. Деление на Однозначное Число. письменное Вычисление - купи
Иллюстрация 5 из 24 для Математика. 3 класс. Найди ошибку. Три уровня сложности.
Решебник, ГДЗ по математике 3 класс Рудницкая, Юдачева - рабочая тетрадь
Деление С Остатком На Двузначное Число 4 Класс Конспект Урока - 57 фото
Интегрированный урок (математика + экология) по теме "Умножение и деление двухзн
Деление трехзначных чисел примеры: Деление трёхзначного числа на однозначное уст
Конструкт урока математики по теме "Деление круглых чисел"
Математика деление трехзначные на однозначные